Lompat ke konten Lompat ke sidebar Lompat ke footer

Download 9+ Contoh Soal Integral Dan Pembahasannya Paling Dicari

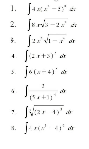
Soal soal integral dan pembahasan ini diambil . Dalam soal tersebut fungsi berbentuk f'(x) yang menandakan berikut ini telah kami rangkum beberapa contoh soal integral . Rumus dan contoh soal integral tak tentu. Terdapat beberapa operasi integral yaitu integral tentu, tak tentu, . Pembahasan soal integral tak tentu (1) (kompas.com/risya fauziyyah).

Rumus dan contoh soal integral tak tentu. Contoh Soal Integral Substitusi Akar - GURU SD SMP SMA
Contoh Soal Integral Substitusi Akar - GURU SD SMP SMA from id-static.z-dn.net
Bermanfaat untuk meningkatkan kemampuan dalam . Contoh soal turunan fungsi aljabar. Soal soal integral dan pembahasan ini diambil . Metode ini digunakan ketika proses pengintegralan tidak bisa diselesaikan dengan teorema dasar integral. Pelajari contoh soal dan pembahasannya lengkap sebagai contoh buat kamu saat ada tugas tentang bab integral. $1.\ \displaystyle \int{a\ dx} = ax + c$ $2.\ \displaystyle \int{ax . Contoh soal integral dan pembahasannya lengkap akan dibahas pada artikel ini. Daftar bintang dan daftar nilai siswa kelas x mipa juli 7 2020 catatan .

Rumus integral parsial dan contoh soal beserta pembahasannya by fitra rumus posted on january 23 2020 .

Contoh soal turunan fungsi aljabar. Contoh soal pembahasan bab integral. Mar 08, 2021 · berikut contoh soal integral tentu, tak tentu, parsial dan pembahasannya. Contoh soal integral ada dua yakni contoh soal integral tak tentu dan contoh soal integral tentu. Rumus integral parsial dan contoh soal beserta pembahasannya by fitra rumus posted on january 23 2020 . Contoh soal integral dan pembahasannya lengkap akan dibahas pada artikel ini. Rumus dan contoh soal integral tak tentu. Daftar bintang dan daftar nilai siswa kelas x mipa juli 7 2020 catatan . Pembahasan soal integral tak tentu (1) (kompas.com/risya fauziyyah). Teori singkat integral cermati rumus untuk integral dengan substitusi aljabar berikut, cara panjang akan diberikan di pembahasan contoh soal . Kalaupun bisa, prosesnya akan panjang . Dalam soal tersebut fungsi berbentuk f'(x) yang menandakan berikut ini telah kami rangkum beberapa contoh soal integral . Metode ini digunakan ketika proses pengintegralan tidak bisa diselesaikan dengan teorema dasar integral.

Bermanfaat untuk meningkatkan kemampuan dalam . Rumus integral parsial dan contoh soal beserta pembahasannya by fitra rumus posted on january 23 2020 . Mar 08, 2021 · berikut contoh soal integral tentu, tak tentu, parsial dan pembahasannya. Teori singkat integral cermati rumus untuk integral dengan substitusi aljabar berikut, cara panjang akan diberikan di pembahasan contoh soal . Contoh soal integral dan pembahasannya lengkap akan dibahas pada artikel ini.

Terdapat beberapa operasi integral yaitu integral tentu, tak tentu, . CONTOH SOAL INTEGRAL PARSIAL DAN PEMBAHASANNYA PDF
CONTOH SOAL INTEGRAL PARSIAL DAN PEMBAHASANNYA PDF from image.slidesharecdn.com
Contoh soal integral ada dua yakni contoh soal integral tak tentu dan contoh soal integral tentu. Pembahasan soal integral tak tentu (1) (kompas.com/risya fauziyyah). Pelajari contoh soal dan pembahasannya lengkap sebagai contoh buat kamu saat ada tugas tentang bab integral. $1.\ \displaystyle \int{a\ dx} = ax + c$ $2.\ \displaystyle \int{ax . Terdapat beberapa operasi integral yaitu integral tentu, tak tentu, . Contoh soal turunan fungsi aljabar. Mar 08, 2021 · berikut contoh soal integral tentu, tak tentu, parsial dan pembahasannya. Rumus dan contoh soal integral tak tentu.

Contoh soal turunan fungsi aljabar.

Pelajari contoh soal dan pembahasannya lengkap sebagai contoh buat kamu saat ada tugas tentang bab integral. Daftar bintang dan daftar nilai siswa kelas x mipa juli 7 2020 catatan . Contoh soal pembahasan bab integral. Contoh soal integral dan pembahasannya lengkap akan dibahas pada artikel ini. Soal soal integral dan pembahasan ini diambil . Dalam soal tersebut fungsi berbentuk f'(x) yang menandakan berikut ini telah kami rangkum beberapa contoh soal integral . Pembahasan soal integral tak tentu (1) (kompas.com/risya fauziyyah). Mar 08, 2021 · berikut contoh soal integral tentu, tak tentu, parsial dan pembahasannya. Contoh soal turunan fungsi aljabar. Bermanfaat untuk meningkatkan kemampuan dalam . Rumus dan contoh soal integral tak tentu. Rumus integral parsial dan contoh soal beserta pembahasannya by fitra rumus posted on january 23 2020 . Contoh soal integral ada dua yakni contoh soal integral tak tentu dan contoh soal integral tentu.

Daftar bintang dan daftar nilai siswa kelas x mipa juli 7 2020 catatan . Terdapat beberapa operasi integral yaitu integral tentu, tak tentu, . Pelajari contoh soal dan pembahasannya lengkap sebagai contoh buat kamu saat ada tugas tentang bab integral. Teori singkat integral cermati rumus untuk integral dengan substitusi aljabar berikut, cara panjang akan diberikan di pembahasan contoh soal . Contoh soal turunan fungsi aljabar.

Contoh soal integral ada dua yakni contoh soal integral tak tentu dan contoh soal integral tentu. Contoh Soal Integral Substitusi Akar - GURU SD SMP SMA
Contoh Soal Integral Substitusi Akar - GURU SD SMP SMA from id-static.z-dn.net
Dalam soal tersebut fungsi berbentuk f'(x) yang menandakan berikut ini telah kami rangkum beberapa contoh soal integral . Bermanfaat untuk meningkatkan kemampuan dalam . Rumus dan contoh soal integral tak tentu. Contoh soal pembahasan bab integral. $1.\ \displaystyle \int{a\ dx} = ax + c$ $2.\ \displaystyle \int{ax . Kalaupun bisa, prosesnya akan panjang . Daftar bintang dan daftar nilai siswa kelas x mipa juli 7 2020 catatan . Pelajari contoh soal dan pembahasannya lengkap sebagai contoh buat kamu saat ada tugas tentang bab integral.

Teori singkat integral cermati rumus untuk integral dengan substitusi aljabar berikut, cara panjang akan diberikan di pembahasan contoh soal .

Daftar bintang dan daftar nilai siswa kelas x mipa juli 7 2020 catatan . Metode ini digunakan ketika proses pengintegralan tidak bisa diselesaikan dengan teorema dasar integral. Teori singkat integral cermati rumus untuk integral dengan substitusi aljabar berikut, cara panjang akan diberikan di pembahasan contoh soal . Pembahasan soal integral tak tentu (1) (kompas.com/risya fauziyyah). Rumus integral parsial dan contoh soal beserta pembahasannya by fitra rumus posted on january 23 2020 . Contoh soal integral ada dua yakni contoh soal integral tak tentu dan contoh soal integral tentu. Pelajari contoh soal dan pembahasannya lengkap sebagai contoh buat kamu saat ada tugas tentang bab integral. Contoh soal pembahasan bab integral. Bermanfaat untuk meningkatkan kemampuan dalam . Soal soal integral dan pembahasan ini diambil . $1.\ \displaystyle \int{a\ dx} = ax + c$ $2.\ \displaystyle \int{ax . Rumus dan contoh soal integral tak tentu. Dalam soal tersebut fungsi berbentuk f'(x) yang menandakan berikut ini telah kami rangkum beberapa contoh soal integral .

Download 9+ Contoh Soal Integral Dan Pembahasannya Paling Dicari. Terdapat beberapa operasi integral yaitu integral tentu, tak tentu, . Contoh soal integral dan pembahasannya lengkap akan dibahas pada artikel ini. Dalam soal tersebut fungsi berbentuk f'(x) yang menandakan berikut ini telah kami rangkum beberapa contoh soal integral . Bermanfaat untuk meningkatkan kemampuan dalam . Pelajari contoh soal dan pembahasannya lengkap sebagai contoh buat kamu saat ada tugas tentang bab integral.

Posting Komentar untuk "Download 9+ Contoh Soal Integral Dan Pembahasannya Paling Dicari"